Diphenyl
tetrasiloxane IOTA 234
Miscibility with dimethyl siloxane, liquid silicone rubber, phenyl silicone rubber and phenyl resin, it’s used as crosslinker of liquid silicone rubber, phenyl silicone rubber and phenyl resin.
Production Ariticle: IOTA234
DESCRIPTION:
Chemical
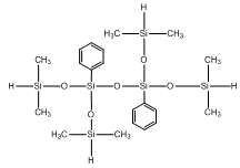
Name:3,5-Bis(dimethylsiloxy)-1,1,7,7-tetramethyl-3,5-diphenyl-tetrasiloxane
Alias: 1,1,3,3-tetra(dimethylsiloxy)-1,3-diphenylsiloxane
CAS: 66817-59-2
STRUCTURAL FORMULA:


SPECIFICATION:
Appearance: Colorless and clear liquid
Specific gravity: 1.005
Refractive index, 20℃: 1.4622
Boiling point, ℃: 95-96°C/ 0.25mmHg
Flash point, COC,℃: > 110
Purity (GC%) ≥: 95
Application:
Miscibility with
dimethyl siloxane, liquid silicone rubber, phenyl silicone rubber and phenyl
resin, it’s used as crosslinker of liquid silicone rubber, phenyl silicone
rubber and phenyl resin.
Storage and Package:
Packaged with 15kg, 200kg coating metal drum, store in a cool ventilated place.
IOTA CORPORATION LTD.
Contactor: Nathan Zhang
Add: Sunmoon industry park, 985 Xingzhong Road, Bengbu, China 233000
TeL: 0086-18119733779/0086-19805521900
Mobile/Wechat: 0086-18119733779
Skype: zhangyang8777
QQ: 729118868
Email: info@iotasilicone.com
Website: www.iotasilicone.com